繁簡ENJP
原料藥 - 信東生技股份有限公司 Taiwan Biotech Co.,Ltd
  • 關於信東
    • 經營理念
    • 歷史沿革
    • 人力發展
    • 關係企業
    • 服務據點
    • 隱私權政策
  • 新聞中心
    • 所有訊息
    • 最新資訊
    • 活動訊息
    • 健康專欄
  • 產品介紹
    • 西藥
    • 原料藥
    • 醫療器材
    • 生技保健
  • 技術&服務
    • 生產製造
    • 研發中心
    • 營業體系
    • 國際合作
    • 品質認證
  • 保健專區
    • 專業代工
    • 蜂健康商城介紹
    • 信東連鎖藥妝門市
    • 信東健康APP
  • 聯繫我們

產品介紹

  1. 首頁
  2. 產品介紹
  3. 原料藥
分類選單
  • 西藥
    • 心血管製劑
    • 呼吸系統製劑
    • 抗微生物製劑
    • 消化系統製劑
    • 泌尿生殖系統製劑
    • 中樞神經系統藥物
    • 骨骼肌肉製劑
    • 新陳代謝系統製劑
    • 維他命製劑
    • 點滴製劑
    • 外用製劑
    • 其他產品
    • 經銷&代理產品
  • 原料藥
  • 醫療器材
    • 呼吸治療
    • 壓力止血貼
    • 無菌空瓶
    • 信東冷熱敷墊
  • 生技保健
    • 維生素系列
    • 男性保健
    • 女性保健
    • 關鍵保養
    • 益生菌/代謝
    • 營養補給
    • 晶亮保健
    • 滋養人蔘
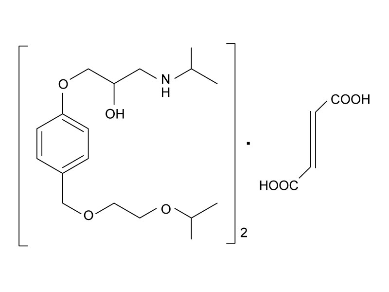
Bisoprolol Fumarate

Bisoprolol Fumarate

  • 1

  • 關於信東
  • 新聞中心
  • 產品介紹
  • 技術&服務
  • 保健專區
  • 聯繫我們
  • 隱私權政策
©2025信東生技股份有限公司 版權所有